25-26-1-信号与系统-期中

一、填空题 (每题2分,共20分)

  1. 宽度为3的门函数属于 【暂无答案】 (能量/功率)有限信号。

  2. sin(πt)[δ(t1)+δ(t+1/2)]dt=\int_{-\infty}^\infty \sin(\pi t)[\delta(t-1) + \delta(t+1/2)]\,\mathrm dt = 【暂无答案】

  3. tδ(2t)dt=\int_{-\infty}^t \delta(2t)\,\mathrm dt = 【暂无答案】

  4. 系统的输入和输出关系为 dy(t)dt+y(t)=x(t)\frac{dy(t)}{dt}+y(t)=x(t)x(t)x(t) 为输入信号,y(t)y(t)为输出信号,则该系统是线性时不变(LTI)的。(填写对或不对) 【暂无答案】

  5. 信号 f(t)f(t) 的周期为 TTf(t3+τ)f(\frac{t}{3} + \tau) 的周期为 【暂无答案】

  6. 对于实信号 f(t)f(t) ,其奇分量用 f(t)f(t) 可以表示为 fo(t)=f_o(t) = 【暂无答案】

  7. 已知 x[n]={1,0,2,1}x[n] = \{1, 0, 2, 1\} ,则该信号的能量为 【暂无答案】

  8. 离散时间信号 x[n]=3cos(0.2πn)+2sin(0.5πn)x[n] = 3\cos(0.2\pi n) + 2\sin(0.5\pi n) 的周期是 【暂无答案】

  9. 已知信号 f(t)=cos(t)+sin(2t)f(t) = \cos(t) + \sin(2t) ,则该信号的功率为 【暂无答案】

  10. 某LTI系统的单位冲激响应为 h(t)h(t) ,输入信号为 x(t)x(t) 时的零状态响应为 y(t)y(t) 。若 h(t)h(t)x(t)x(t)y(t)y(t) 的傅里叶变换分别为 H(ω)H(\omega)X(ω)X(\omega)Y(ω)Y(\omega) ,则 Y(ω)=Y(\omega) = 【暂无答案】

二、填空题(每题2分,共20分)

  1. 有一LTI系统,其阶跃响应是 g(t)=e2tu(t)g(t) = e^{-2t}u(t) ,则其单位冲激响应为 【暂无答案】

  2. 已知某LTI系统的冲激响应为 h(t)h(t) ,当系统的输入信号为 2δ(t2)2\delta(t-2) 时,系统的零状态响应为 【暂无答案】

  3. 已知某LTI系统的全响应为 r(t)=[2et+sin(10t)]u(t)r(t) = [2e^{-t} + \sin(10t)]u(t) ,零输入响应为 rzi(t)=[et+2sin(10t)]u(t)r_{zi}(t) = [e^{-t}+2\sin(10t)]u(t) 。在系统初始条件不变的情况下,如果激励增加一倍,则此时零状态响应 rzs(t)=r_{zs}(t) = 【暂无答案】

  4. 某离散LTI系统的脉冲响应为 h[n]=(0.6)nu[n]h[n] = (-0.6)^n u[n] ,则该系统是因果且稳定的系统 【暂无答案】 。(填写对或不对)

  5. 信号 x(t)=e2tu(t)x(t) = e^{-2t}u(t) 的傅里叶变换为 【暂无答案】

  6. 设某LTI系统的单位脉冲响应为 h[n]=u[n]u[n4]h[n] = u[n] - u[n-4] ,则在信号 x[n]=δ[n]δ[n1]x[n] = \delta[n] - \delta[n-1] 激励下产生的零状态响应为 【暂无答案】

  7. x[n]={1,2,3}x[n] = \{1, 2, 3\} , h[n]={2,1}h[n] = \{2, 1\} , y[n]=x[n]h[n]y[n] = x[n] * h[n] 的序列长度为 【暂无答案】

  8. 周期信号 f(t)f(t) 的周期为 τ\tau ,且 f(t)=f(t)f(t) = f(-t) ,则其傅里叶级数展开式中的正弦函数项为 【暂无答案】

  9. 已知信号 f(t)=δ(t2)f(t) = \delta(t-2) ,则其傅里叶变换 F(ω)=F(\omega) = 【暂无答案】

  10. 阶跃信号 u(t)u(t) 的傅里叶变换为 【暂无答案】

三、计算画图题 (12分)

1.(6分)

已知 x(t)x(t) 如题图3-1所示,画出 y(t)=x(2t+4)y(t) = x(-2t+4) 的波形图。

第3.1题图

第3.1题图

2.(6分)

已知 x[n]x[n] 如题图3-2所示。

  1. x[2n]x[2n] ,并画出 x[2n]x[2n] 图形;
  2. 画图 f[n]=u[2n]f[n] = u[2-n] 的图形。

第3.2题图

题图

第3.2题图

四、分析计算题(10分)

题图4所示电路中, ν1(t)\nu_{1}(t) 为输入信号, ν2(t)\nu_{2}(t) 为输出信号。描述该系统的单位冲激响应为 h(t)=αeαtu(t)h(t) = \alpha e^{-\alpha t}u(t) ,其中 α=1RC\alpha = \frac{1}{RC}

  1. 求该系统的单位阶跃响应 g(t)g(t)
  2. 画出 g(t)g(t) 的波形图,并标出 t=RCt = RCg(t)g(t) 对应点的取值。

第4题图

题图

第4题图

五、分析计算题(10分)

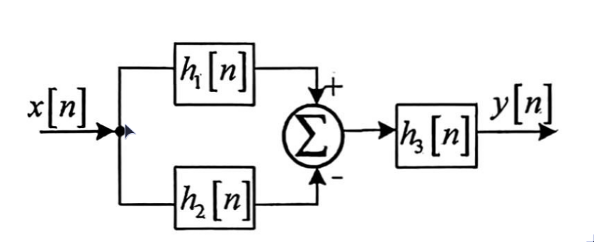
某离散时间线性时不变系统的方框图如题图5所示,已知 h1[n]=δ[n]h_{1}[n] = \delta[n]h2[n]=δ[n3]h_{2}[n] = \delta[n-3]h3[n]=u[n]h_{3}[n] = u[n] 。求复合系统的单位脉冲响应 h[n]h[n] ,并画出其图形。

第5题图

题图

第5题图

六、分析计算题(10分)

已知某信号 f0(t)f_{0}(t) 的波形如题图6所示。在下面的求解中,设 T=2τT = 2\tauTTτ\tau 均为大于0的实常数。

  1. 画出 f1(t)=f0(t)[δ(t+T)+δ(t)+δ(tT)]f_{1}(t) = f_{0}(t) * [\delta(t+T) + \delta(t) + \delta(t-T)] 的波形图。
  2. 某周期矩形脉冲信号 f(t)=n=f0(tnT)f(t) = \sum_{n=-\infty}^\infty f_{0}(t-nT)nn 为整数。
    1. f(t)f(t) 的基波角频率为 【暂无答案】
    2. f(t)f(t) 的直流分量为 【暂无答案】
    3. f(t)f(t) 的第2026次谐波分量为 【暂无答案】
  3. f0(t)f_{0}(t) 的傅里叶变换 F0(ω)F_{0}(\omega) ,并画出 F0(ω)F_{0}(\omega) 的频谱图。

第6题图

题图

第6题图

七、分析计算题(10分)

如题图7所示的通信系统中,信号 fa(t)f_{a}(t)fb(t)f_{b}(t) 的傅里叶变换分别为 Fa(ω)F_{a}(\omega)Fb(ω)F_{b}(\omega) ,二者的示意图分别如题图7(a)和题图7(b)所示。

  1. 为了充分利用频带资源,系统将信号 fb(t)f_{b}(t) 进行尺度变换为 fb(0.5t)f_{b}(0.5t) 后再处理。请写出 fb(0.5t)f_{b}(0.5t) 的傅里叶变换,并画出频谱图。

  2. ωa=10\omega_{a} = 10ωb=20\omega_{b} = 20 ,请画出 g(t)g(t) 频谱图。

第7题图

题图

第7题图

八、计算机实践题(8分)

使用Matlab或Python的 lsim() 函数,可以对系统的响应进行仿真绘图。题图8(a)为使用lsim函数对一个一阶因果线性时不变系统进行仿真的结果。题图8(b)和题图8(c)则是调整了仿真参数后,对该系统的再次仿真结果。

第8题图

题图

第8题图

问题:

  1. 对于(b)所示仿真结果,本次仿真使用的初始状态参数和(a)时的(倍数)关系是什么。
  2. 对于(b)所示仿真结果,本次仿真使用的外加激励和(a)时的(倍数)关系是什么。
  3. (c)所示仿真结果中,在0到1时间段内,全响应和零输入响应曲线重合。则可以推断,(c)对应的仿真,使用的外加激励和初始状态和(a)时相比分别是什么关系。